Le polynôme caractéristique d'un endomorphisme
Soit
un
-espace vectoriel de dimension finie. Soit
un endomorphisme de
, et soit
une valeur propre de
. Il existe alors un vecteur propre
(non nul) tel que
ou encore
. Ainsi,
n'est pas injectif, ce qui en dimension finie se traduit par
.
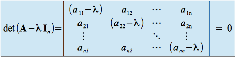
Si on note
la matrice de l'endomorphisme
dans une base
de
, ceci s'écrit aussi
,
la valeur de ce déterminant étant indépendante du choix de la base puisque le déterminant est invariant par transformation de similitude.
Définition :
Soit
un
-espace vectoriel de dimension
, et soit
un endomorphisme de
. On appelle polynôme caractéristique de
, le polynôme
.
Ce polynôme est indépendant de la base de la base choisie dans laquelle on exprime le déterminant, et il est de degré
en
Fondamental : Propriété
Soit
un
-espace vectoriel de dimension finie. Soit
un endomorphisme de
, et soit
le polynôme caractéristique de
.
L'ensemble des racines de
, quand elles existent, constitue le spectre de
.Pour toute racine
de
(
), le sous espace propre associé correspond à :
.
On a aussi le résultat suivant :
Fondamental : Propriété
Soit
un
-espace vectoriel de dimension finie, et soit
un endomorphisme de
. Si
est une valeur propre de
, racine de multiplicité
du polynôme caractéristique
de
, alors :
.
Enfin, il faut noter le résultat fondamental suivant :
Fondamental : Théorème
Soit
un
-espace vectoriel de dimension finie. Soit
un endomorphisme de
, et soit
le polynôme caractéristique de
. Alors
est un polynôme annulateur de
, c'est à dire que
est égal à l'endomorphisme nul de
et que, pour toute représentation matricielle
de
dans une base donnée de
,
.





